化学名称: 钙-2-氧代-3-苯基丙酸盐
中文别名:酮基苯丙酸钙盐
英文名称:Alpha Ketophenylalanine Calcium Salt
英文别名: Benzenepropanoic Aid, α-Oxo-, Calcium Salt
Calcium Alpha-Ketophenylalanine
Phenylpyroracemic Acid Calcium Salt
Phenylalanine Ketoanalogue, Calcium Salt
Calcium-Phenylpyruvate
Calcium-2-Oxo-3-Phenylpropionate
Phenylpyruvic Acid Calcium Salt
CAS:51828-93-4
分子式:C18H14O6Ca
分子量:366.4
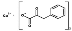
结构式:

性质:几乎白色或浅黄色结晶或结晶性粉末
质量指标:含量≥98.0%
用 途: 体格增强之补剂,营养补充剂
包装:12.5公斤/桶, 也可根据客户需要进行包装 |